0×00 前言
这两年手机市场开始萎缩,全球芯片厂商再死守手机领域也无法维持竞争力,物联网是手机之后的下一个蓝海。那么,物联网安全如何实现是值得信息安全工作者思考的问题。
物联网是一个新兴行业,非常有必要了解一下目前的行业技术标准,以及未来应用普及的程度。从而才能确定本文讨论的范围。那么作为物联网的基础芯片,各厂商都有哪些标准?
它们的优略势在哪?下面一张表给了大家答案:
当然还有WiFi和蓝牙技术,但都有致命的使用瓶颈,所以不适合未来物联网技术发展。WiFi(智能设备连接数不大于16) 蓝牙(高功率、连接距离有限)。
经过以上分析,Zigbee是一个非常有钱途的物联网标准。那么,我们要求的物联网安全就确定Zigbee。
0×01、zigbee安全性分析
从互联网和物联网融合的方向上看,设计场景,在外地控制家里的灯的开关。我们开需要连接Internet。所以,基于云的安全也是需要考虑的范畴,这些对于久经沙场的白帽子们破解思路不必说太多。REST API调用方式可以研究一下。但是不是本文讨论的范围。
测试环境搭建:
根据以上网络架构图描述,可以从以下几个方面入手做分析工作:
(1)购买zigbee开发板,了解zigbee协调器(IoT gateway)和zigbee End Device之间的通讯协议。
(2)代码审计zigbee协议栈实现源代码ZStack,本地是否存在敏感信息存储漏洞。
使用分析工具给大家介绍一下:
(1)Ubiqua Protocol Analyzer 本工具可以Decode zigbee相关通讯协议。当然wireshark也可以。
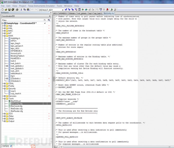
(2)IAR Embedded Workbench 本工具为zigbee物联网设备开发工具。嵌入式设备开发工具,zigbee原理:其实就是51单片机或者arm芯片控制开发板上的采集设备接收回传数据,然后通过zigbee协议的无线RF通讯模块发送接收。
IoT gateway 网关就是增加了协调功能,底层使用6Lowpan协议互联。与以太网、802.11等传统链路层不同,标准的IPv6协议不能直接构建在IEEE802.15.4MAC层之上。为此,需要在IPv6网络层和IEEE802.15.4MAC层之间加入一个中间层,即适配层,适配层主要功能是压缩、分片与重组、 Mesh路由。网络层采用IPV6协议,传输层采用TCP或者UDP,应用层Socket接口。通过传统的TCP/IP协议连接WiFi。就实现了互联网和物联网互通的功能。
小注释:6Lowpan是IPv6 over Low-power wireless Personal Area Networks的首字母缩写,是IETF组织制定的物联网标准体系,它的物理层和MAC层采用802.15.4标准,网络层采用IPv6,,传输层采用UDP,应用层采用低开销的CoAP。
同时,有必要了解一下zigbee协议中安全部分是怎么做的?
Zigbee加密技术要从两个方面考虑:
(1)网络传输架构
(2)加解密安全机制
/* Default security key. */
-DDEFAULT_KEY=”{0×01, 0×03, 0×05, 0×07, 0×09, 0x0B, 0x0D, 0x0F, 0×00, 0×02, 0×04, 0×06, 0×08, 0x0A, 0x0C, 0x0D}”
当然如果已经开发的zigbee设备,还是需要反编译固件上找encryption key。
使用加密手段:对称秘钥加解密AES-128位
主密钥(Master Key):用于配合ZigBee对称密钥的建立(SKKE)过程来派生其它密钥,也就是说,设备要先拥有信任中心(ZigBee网络中有且仅有的一个可信任设备,负责密钥分发与管理,以及网络的建立与维护)生成的主密钥才能派生网络密钥和链路密钥给其它设备,它可以由信任中心设置,也可基于用户访问数据,比如个人识别码(PIN),口令或密码等信息;
网络密钥(Network Key):用于保护广播和组数据的机密性和完整性,同时也为网络认证提供保护,被网络中的多个设备所共享,仅在广播消息中使用;
链接密钥(Link Key):用于保护两个设备之间单播数据的机密性和完整性,仅通讯中的2个设备持有,而单个设备需要多个链接密钥来保护每个端对端会话。
0×03、如何防范针对zigbee协议的攻击?
经过研究、可以发现目前zigbee协议安全性还是比较高的,通过网络sniffer是无法破解AES128加密协议的。唯一破解思路为寻找固件默认key,寻求破解。
那么如何防止固件破解,可以参照wifi固件破解思路处理,本文不做多余讨论。但是作为安全信息工作者,做出一套安全开发套件SDK集成在IoT Gateway上,或者直接把coding固化到硬件芯片上 类似某某物联网安全 inside那就太棒了。目前还没有大的安全厂商有相关的产品计划。
未经允许不得转载:物联网的那些事 - Totiot » 浅谈——物联网安全蓝海战略

微信关注,了解更多 







